膠原蛋白的好處,我們都已從會員的親身見證得以證實了。畢竟要補充5000mg膠原蛋白,要從食物吃的話,相當於是二片魚翅翅,這真是太高難度了,況且荷包失血。補充經酵素水解的胜肽型膠原蛋白和米賽洛美,才是「Easy美容術」首選正解。
首創口服

輕巧易撕包,讓妳沒有杯子,沒有咖啡或飲料也能隨時補充。
口服式的創舉,突破了繁瑣的吃法,這也是美之選隨手口服包裝被爭相模仿及推薦的熱賣原因之一。
變漂亮首要「由裡到外」
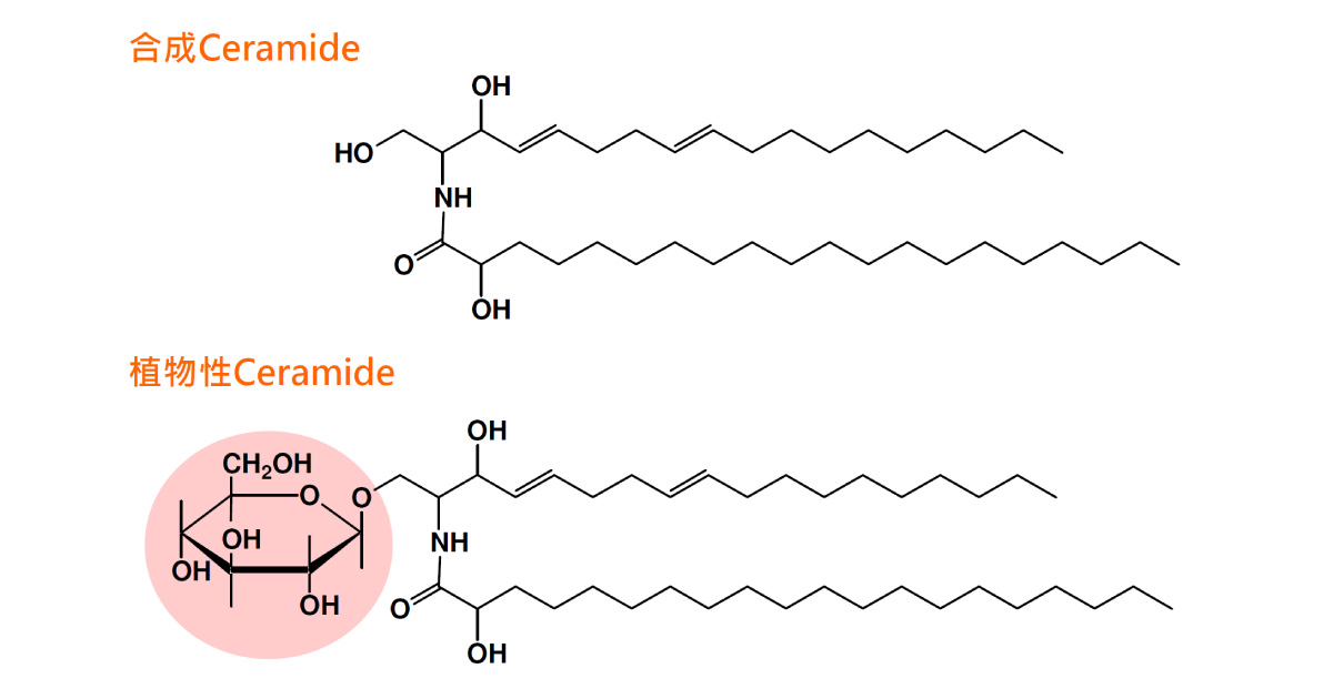
Ceramide神經醯胺在乳液、精華液、化粧水、面膜精華液裡近乎8成都會出現它,有的保養品甚至以神經醯胺為主打。美之選選用天然的米賽洛美(神經醯胺)是來自玄米萃取,具有多項比「合成型神經醯胺」更勝出的特色:


美之選膠原蛋白含賽洛美具有好吸收方便補充的特色,這款結合「玄米萃取含賽洛美神經醯胺」,幫妳從體質調理著手更能事半功倍。除了滿滿的養顏美容營養精華外,這款是超好吃的「白柚口味」讓妳吃完立即帶來好心情 。

1日補充2包含量:魚來源Pro-Hyp(P-O)膠原蛋白肽5000mg、米胚芽萃取物(含米神經醯胺1800微克)、NMN前驅物、維生素C100mg。
維生素C促進膠原蛋白的形成,有助於傷口癒合。增進體內結締組、骨骼及牙齒的生長。具抗氧化作用。
口服的前提必須是顆粒型粉劑,粉質若太細會塵揚,可是會有吸入嗆到的問題!

而吸收要好的前提非胜肽型式莫屬了。胜肽型是一很重要的關鍵,這也是嬰幼兒奶粉一直強調的水解奶粉,都是為了好吸收目的。
美之選基於這二點考量,特別經選用經專利製程二段式純化的水解膠原蛋白胜肽及溶解度極好的米賽美,如此一來讓膠原蛋白兼具了好吸收、及顆粒的劑型。隨時都能補充,完全消除要飯後吃的困境。